Recently, I have been utilising Open Middle problems more and more. What I particularly like about these problems is the sense of challenge that drives students to find a possible answer. After using many awesome problems directly from the Open Middle website, I decided to have a go at writing my own and use these develop a need to learn log laws.
Developing the need to learn maths
The problems that I have included below can be solved without any knowledge of log laws and I deliberately introduced these before teaching the laws. Initially, students were plugging random combinations into their calculators to try and solve the problem based on what they had already learnt about logarithms. It doesn’t take long for the students to become frustrated with what they already know and with their current method of solving the problem. They develop a need to learn something new – something that will help them understand the maths in a different way. Dan Meyer might call this, “creating a headache“.
- Version 1: Easier
- Version 2: Harder (maybe if you have already taught log laws)
Teaching maths when it’s needed
The purpose of learning maths in the context of this lesson was to use log laws to simplify logarithms to help solve a problem. By learning through the problem, students were able to connect what they previously understood about logarithms with what they needed to learn. I asked the students to consider one question while trying to solve problems like these,
“How can I rearrange it or represent it in another way to make it easier to solve?”
By considering other ways of representing logarithms, students started asking if there were any rules or methods that could make it easier. I asked them which ones they wanted to change (by looking for similarities in the way the equations were written) and showed them the following three log laws:

Most students got stuck on the final problem of the set on the left. What was great about this was that, after I guided them to realise that they needed to use the quotient law (the second of the three pictured above), they were able to learn that log(1) is equal to zero and understand why.
Setting the bar higher
I believe that learning takes place when the boundaries of what is known and understandable are pushed. I presented the following problem in a similar way to the first one, although I had a brief class discussion about what “rational” numbers and a “surds” were.
- A possible alternative to the problem
Here, students had to really think deeply about which numbers would need to go where, and where some numbers couldn’t go. For me, it was the conversations that I was overhearing students have that was the highlight of this problem. Comments like, “the ‘8’ has to go in the square root that has a little ‘3’”. Is it mathematically correct? Not entirely. Do I care? At this stage, no.
If you haven’t already, jump onto the Open Middle website and see if there are some decent problems that you can try in your class. They are definitely worth it.
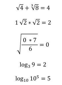
Solutions to the problems above are:














I find the idea of creating challenges for students before introducing new concepts very insightful.
LikeLike